T形栅极增强型AlGaN/GaN MIS-HEMT寄生电容的不稳定性机理研究
AlGaN/GaN MIS-HEMT基于超极化形成的二维电子气(2EDG),具有高速开关、低寄生和低导通电阻等优点,在射频和高速开关电路中具有广阔的应用前景。在钝化介质上形成栅场板和源场板结构是提高HEMT击穿电压的常用手段,并能够有效抑制电流崩塌效应。但是,场板结构同样会增大寄生电容,增大开关损耗和开关时间。尤其是在高场下,钝化介质/(Al)GaN界面态和介质内部体缺陷对电子的trapping/de-trapping效应将会导致寄生电容的动态漂移,容易引起MIS-HEMT在开关过程中出现错误的响应,然而该可靠性问题很少有人研究。
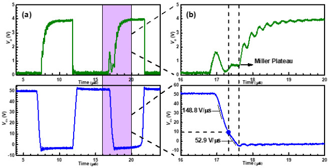
近期,中科院微电子研究所蒋其梦、黄森老师课题组通过高频C-V测试和电感负载开关测试,对LPCVD-SiNx介质钝化增强型AlGaN/GaN MIS-HEMT的栅极相关寄生电容开展系统性研究。在栅电容C-V特性曲线和栅漏电容C-V特性曲线上,T形栅场板引入的寄生电容部分和增强型沟道电容部分表现出不同的夹断电压。通过不同频率和初始测试电压的测试结果,验证了T型栅场板寄生电容部分的不稳定性是由LPCVD-SiNx钝化介质引入界面态和体缺陷造成的。在电感负载开关测试结果的输出电压曲线中,表现出分段的电压下降斜率,反映出相应附加的开关功耗和开关时间。
T形栅结构寄生电容的不稳定性研究为增强型AlGaN/GaN高压开关器件的结构设计和工艺加工具有一定的指导意义,有助于推动后者在高速开关电路中的应用。

图1. T形栅增强型AlGaN/GaN MIS-HEMT C-V特性曲线:(a) CG-VG;(b) CDG-VGD。

图2. 电感负载开关测试结果:(a) 输入-输出电压波形;(b) DUT开启过程波形。
Instability of parasitic capacitance in T-shape-gate enhancement-mode AlGaN/GaN MIS-HEMTs
Lan Bi, Yixu Yao, Qimeng Jiang, Sen Huang, Xinhua Wang, Hao Jin, Xinyue Dai, Zhengyuan Xu, Jie Fan, Haibo Yin, Ke Wei, Xinyu Liu
J. Semicond. 2022, 43(3): 032801
doi: 10.1088/1674-4926/43/3/032801
Full Text: http://www.jos.ac.cn/article/doi/10.1088/1674-4926/43/3/032801%20?pageType=en
来源:半导体学报2022年第3期中文导读





